Multi-Turn Gearbox (Model BA)

Product Overview
The multi-turn gearbox series is designed for operating multi-turn valves such as gate valves and globe valves. It features a totally sealed gear drive unit, ensuring long service life and reliable performance even in harsh environments. The gearbox can be driven manually or by an electric actuator, complying with international standards including ISO 5210.
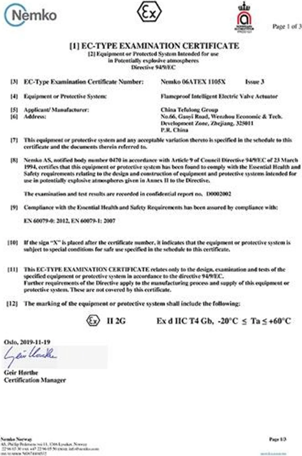
Actuator Certificates







Need Non-Standard Specs?
We Engineer It.
Full OEM/ODM capabilities for extreme temperatures (-60°C), special protocols, and custom mounting interfaces. From concept to delivery.
Request Engineering ProposalExclusiveCustom Model
Electro-Hydraulic Actuator
Output: 3kN-700kN
IP66/IP68 | SIL2

